受益于“十四五”儲能產業政策利好,以及新型儲能技術應用市場的快速發展,市場前景被上市公司及投資方長期看好,企業正加速多元布局。
在新型電力系統中,儲能將成為至關重要的一環,是新能源消納以及電網安全保障必要保障,在發電側、電網側、用電側都會得到廣泛的應用,需求空間廣闊。國內市場,風光強制配儲政策推動儲能需求指數增長。在市場需求爆發以及政策鼓勵的雙重推動下,成熟的抽水蓄能、鋰電儲能呈現爆發性增長,其他新型儲能技術也進入了發展快車道。
今天將帶大家了解各種儲能度電成本計算。
一、儲能度電成本的計算
1、 平準化度電成本的計算方法
平準化度電成本(Levelized Cost of Energy, LCOE),是對項目生命周期內 的成本和發電量先進行平準化,再計算得到的發電成本,即生命周期內的成本現值 /生命周期內發電量現值。
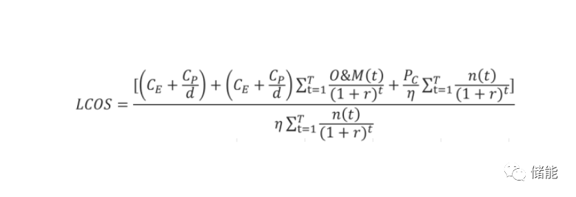
相類似地,儲能的全生命周期成本即平準化儲能成本(Levelized Cost of Storage,LCOS)。LCOS 可以概括為一項儲能技術的全生命周期成本除以其累計傳輸的電能量或電功率,反映了凈現值為零時的內部平均電價,即該項投資的盈利點。平準化儲能成本(LCOS)量化了特定儲能技術和應用場景下單位放電量的折現成本,考慮了影響放電壽命成本的所有技術和經濟參數,可以與平準化度電成本 (LCOE)類比,是進行儲能技術成本比較的合適工具。
具體而言,平準化儲能成本為投資成本、運營維護(O&M)、充電成本,三者 之和除以投資期間的總放電量,鑒于數據的可得性,暫不考慮放電深度和容量衰退、 回收成本。

具體計算公式以及涉及的指標如下:


1)投資成本
容量成本是指儲能系統中與儲能容量相關的設備和施工成本,如電池儲能中的電池、電池集裝箱等設備費用和施工費用,抽水蓄能電站中水庫的成本,壓縮空氣儲能中儲氣室和儲熱系統的成本等。
功率成本是指儲能系統中與功率相關的設備和施工成本,如電池儲能系統中的變流器、變壓器等設備,抽水蓄能電站中的水輪機,如電池儲能系統中的變流器、變壓器等設備,抽水蓄能電站中的水輪機,壓縮空氣儲能中的壓縮機和膨脹機等。
如公式中所示,CE 為隨容量變化的裝機成本,CP 為隨功率變化的裝機成本,功率成本+容量成本=單位功率成本*儲能功率+單位容量成本*儲能容量=單位功率成本*儲能容量/放電時長 +單位容量成本*儲能容量。
2)充電成本
充電成本是計算度電成本的重要要素,但由于充電成本需要考慮電價本身,各地區差異化較大,很難比較。另外,不同類型電力能源上網電價也不相同,風電、氣電、火電價格較貴,風光實現評價上網。因此,如果僅從比較各類儲能技術的度電成本角度出發,可以統一不考慮其充電成本 PC,只考慮其儲存和釋放過程的成本。
3)運維成本
儲能的運維成本主要包括這就人工、燃料動力、部件更換等。
4)累計輸送電量
要計算儲能的度電成本,就要儲能系統全生命周期可以釋放多少度電或循環的次數。這其中涉及到儲能系統的系統壽命 T(年為單位)、年循環次數 n(t)、以及循環效率。
為了對比各類儲能技術度電成本的變化趨勢,首先對各類技術到 2030 年的儲 能容量、能量單元成本、使用壽命、充放電效率等進行假設:
A、容量成本方面
假設 2030 年前儲能技術發展速度較快,后期隨著技術、設備成熟度提高,降本速度逐漸放緩,即假設 2020-2030 年期間以上幾種儲能方式容量成本下降 20%。
鉛炭電池,由于材料成本(鉛)占比較大,因此其容量成本下降空間較為有限,假設 2020-2030 年容量成本不變。
抽水蓄能方面,假設 2020-2030 年抽水蓄能容量成本上升 10%。
壓縮空氣儲能方面,考慮到壓縮空氣儲能所用設備均已高度成熟化,因此其成本下降幅度有限,假設到 2030 年成本下降 10%。
氫儲能方面,假設 2020-2030 年容量成本也保持不變。
B、功率成本方面
鉛炭電池材料成本占比較高,成本下降空間有限,假設 2020-2030 年,鉛炭電池功率成本下降 10%,其余電化學儲能功率成本下降 20%。
機械儲能方面,考慮到壓縮空氣儲能所用壓縮機、膨脹機、儲氣、熱交換等設備均已高度成熟化,因此其功率成本下降幅度也有限,假設到 2030 年下降至 7500 元/kW。
氫儲能方面,假設 2020-2030 年氫儲能功率成本下降 10%。
C、充放電效率方面
假設短期內到 2030 年鋰離子、鈉離子電池充放電效率達到 90%,液流電池、鉛炭電池充放電效率達到 85%。抽水蓄能、壓縮空氣儲能充放電效率也有小幅提升,但相對其他技術充放電效率較低。
折現率是指將未來有限期預期收益折算成現值的比率。折現率越高,就意味著 對于當下的偏好越高。這一概念也可以用于儲能的成本計算。假設儲能成本的折現率為 7%, 每年的運維費用一般為初始投資成本的 3%左右。

我們可以大致測算出各類儲能技術的度電成本:
1、從2020 年來看,各類儲能技術度電成本的排序從低到高分別是:抽水蓄能<鋰離子電池<全釩液流電池<鉛炭電池<壓縮空氣<鈉離子電池<鈉硫電池<氫儲能。
抽水蓄能仍然是當前度電成本最低的方案,顯著低于其他儲能技術,鋰離子、全釩液流電池儲能成本相當,是僅次于抽水蓄能的度電成本較低的技術。
壓縮空氣儲能、鈉離子電池儲能度電成本也處于1 元/kWh 之下,鈉硫電池、氫儲能尚不具備成本優勢。

2、到 2030 年,各類儲能技術的度電成本從低到高排序或依次為:鋰離子電池<抽水蓄能<全釩液流電池<鉛炭電池< 鈉離子電池<壓縮空氣<鈉硫電池<氫儲能。
也就是說,若鋰離子電池容量成本、功率成本在 2020-2030 年能實現 20% 的下降,則到 2030 年其平準化儲能度電成本將有望低于現階段最經濟的抽水蓄能。

總體上看,全釩液流電池、鋰離子電池均有望實現較大幅度降本,到 2030 年仍是電化學儲能中度電成本最低的兩種技術;鉛炭電池、鈉離子電池、壓縮空氣儲能度電成本其次,氫儲能度電成本仍然處于較高水平。
二、關于各類儲能經濟性對比中需要注意的幾點問題
1 、關于各類儲能技術度電成本的可比性
由于抽水蓄能、壓縮空氣儲能、重力儲能等機械儲能物理儲能壽命更長,均在 30年左右,因此從現階段看,其度電成本自然會更低,相比之下,電化學儲能的系統壽命較短,在度電成本上較機械儲能沒有明顯優勢。因此,平準化儲能度電成本更適合將各類電化學儲能、各類機械儲能分別進行對比。
2、為什么將初始投資成本分為容量成本、功率成本?
以大型鋰離子電池儲能電站為例,100MW/200MWh 是比較常見的配置,其 中 100MW 是指對外充放電的功率,200MWh 是指容量。一般可以理解為與直流側相關的部件與時長、容量相關,而交流,即逆變器之后的環節與功率相關,與時長無關。所以,可以將儲能系統各部件的成本大致分為與容量相關、與功率相關兩部分,即容量成本、功率成本。也有部分與容量、功率都無關的成本,比如電池管理系統(EMS),但由于占比較小,在我們的測算過程中暫不考慮。
3、儲能度電成本要降低到多少才有意義?
儲能,即能量的存儲,指在能量富余時利用裝置或介質將能量存儲起來,并在 需要時再釋放的過程,其本質是調節能量供求在時間和強度上的不匹配問題。
對于風電、光伏等間歇式能源而言,當期發電成本、儲能度電成本之和低于火電時,其相比火電則更有優勢。例如,在一些資源較好的的地區光伏發電成本在 0.1-0.15 元/kwh,那么只要上網電價高于這一價格就可以實現盈利。而如果配套一個儲能系統,隨著其循環次數快速提升,假設儲能系統本身的度電成本可以降低至 0.2 元,則通過儲能系統輸送電成本則為 0.3-0.35 元/kwh。以國電電力為例,2022 年 1-6 月平均上網電價 為 0.35 元/kwh。
因此,若當前儲能度電成本可以降低至 0.2 元/kwh 及以下,則光儲結合相比火電或具備經濟性,而其二者結合提供的電也更加穩定可控。但各地區發電成本、上網電價不同,或存在一定差異性。
4、鋰離子電池放電時長假設為 4 小時,還有提升空間嗎?
對于鋰電池儲能系統而言,充放電時常常與功率、容量相關。以目前的 200MWh 系統為例,若以 100MW 功率放電,可以釋放 2 小時,如果以 50MW 功率放電,放電時長可以達到 4 小時。如果配置 800MWh 大容量的電芯也并非不可以,但由于電芯價格較貴,在鋰電池儲能 EPC 度電成本占比中近一半,因此,增加電池容量必然會導致成本大幅提升,在當前儲能收益較小的階段,做更大容量電芯并不劃算。
來源:舍得低碳頻道(知乎)














評論