4月8日,云南省能源局關于加快推進“十四五”規劃新能源項目配套接網工程有關工作的通知。為確保順利完成全省“十四五”新能源規劃建設目標,切云南省發改委要求實做好新能源項目建設與配套接網工程同步規劃、同步建設、同步投產工作,實現新能源項目按期并網消納,保障全省能源供應安全。
對照《云南省“十四五”規劃新能源項目清單》,按照2022-2024年每年開工2000萬千瓦新能源并留有裕度的原則,編制完成新能源項目接入系統方案(包括建設時序),同時提前修訂電網建設規劃,加快新能源配套接網工程前期工作和建設,確保未來三年新增5000萬千瓦新能源項目全額消納。并要求文件印發1個月內將《清單》新能源項目接入系統方案報省能源局。
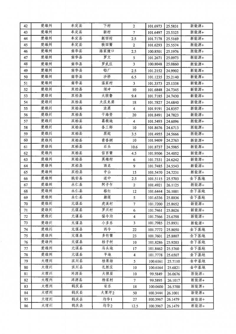
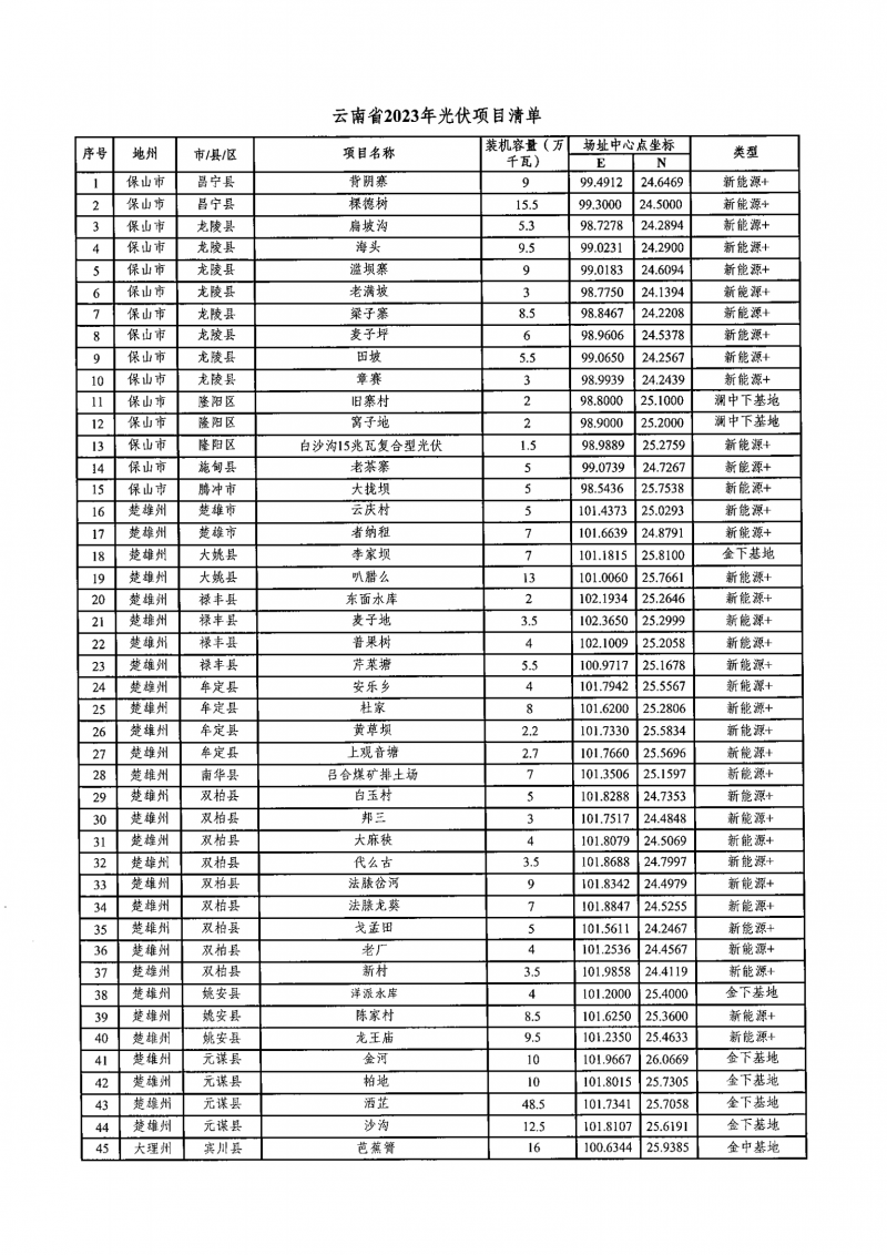
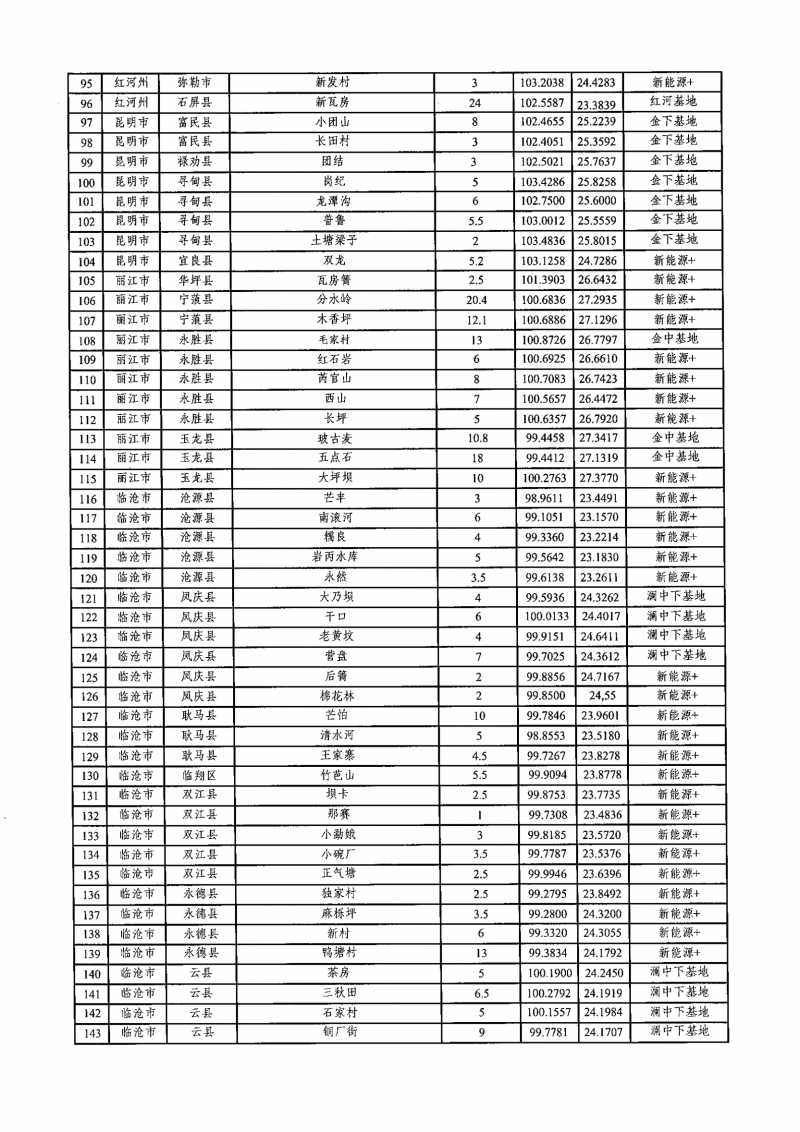
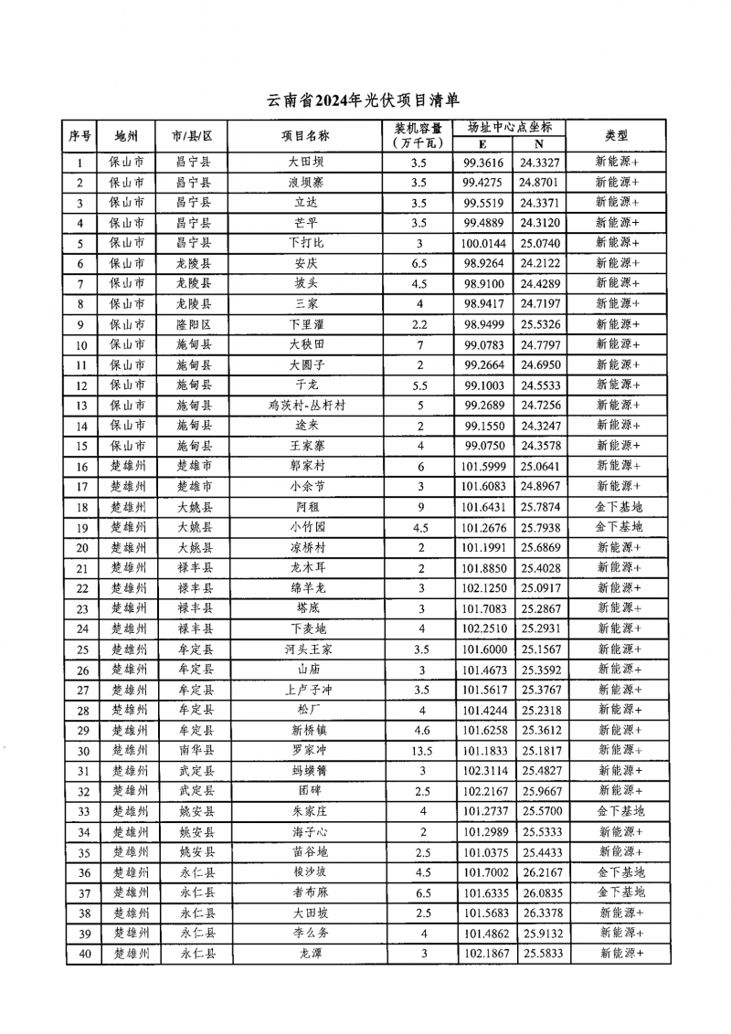
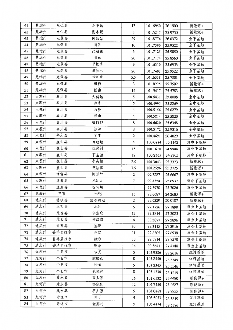
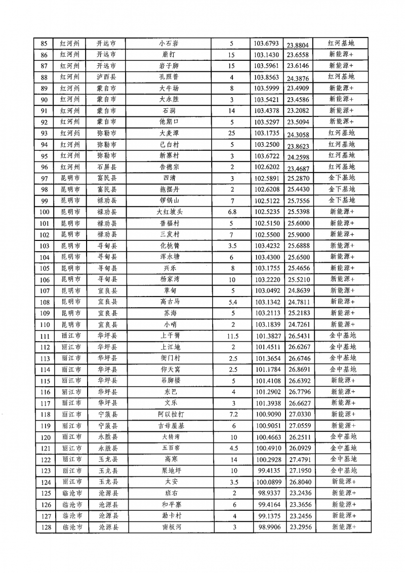
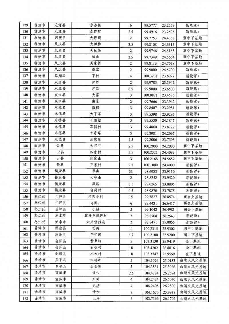
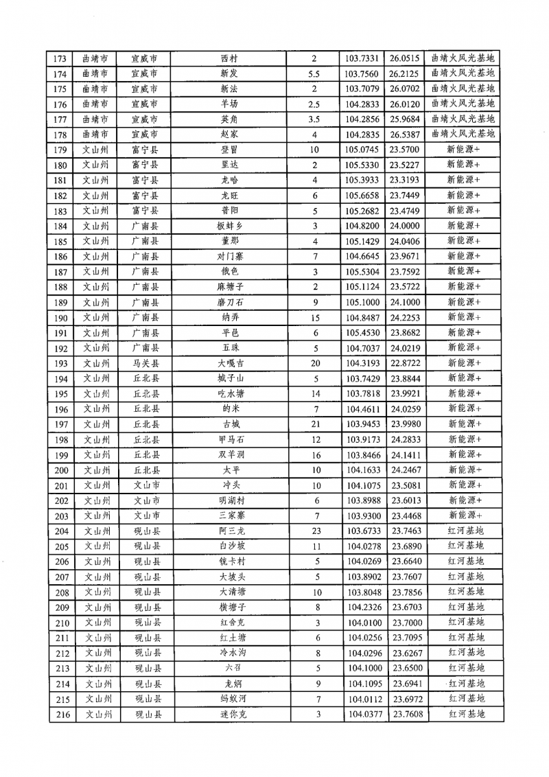
根據查詢云南省“十四五”規劃新能源項目清單發現,2022年-2024年共計5450萬千瓦新能源項目。其中2022年2102萬千瓦;2023年1792萬千瓦;2024年1557萬千瓦。
5450萬千瓦項目主要包括紅河基地636萬千瓦、金下基地423萬千瓦、金中基地285萬千瓦、瀾金上基地228萬千瓦、瀾中下基地346萬千瓦、曲靖火風光基地292萬千瓦、新能源+3240萬千瓦。
此外,值得注意的是,2021年云南省2021年風電、光伏項目清單共1858.9萬千瓦,其中光伏966.3萬千瓦;風電892.6萬千瓦。統計下來云南省2021年-2024年共計7308.9萬千瓦新能源項目。
這些能源項目均要求建設與配套接網工程同步規劃、同步建設、同步投產工作,實現新能源項目按期并網消納,保障全省能源供應安全。
原文如下:
































評論